Durante el mes de marzo de 2012 tuve ocasión de participar en el proceso de digitalización y posterior preparación para su exhibición de una serie de fotografías estereoscópicas tomadas en los Pirineos en los últimos años del Siglo XIX y los primeros del Siglo XX. El conjunto formaba parte de la exposición Els Pirineus en profunditat: Fotografia estereoscòpica i 3D en el marco de Pyrenades 2012, organizada por el PyrenMuseu de Salardú, en la Vall d’Aran.
Una de las imágenes, ya digitalizada por el personal de l’Arxiu Fotogràfic del Centre Excursionista de Catalunya (AFCEC), llegó con el nombre de archivo <AFCEC_ORFILA_X_074> (Figura 1). En ella aparece una excursionista sentada, de espaldas a la cámara, sobre una roca de una cima sin identificar. La imagen, con una composición clásica, es un excelente ejemplo de como la disposición de los elementos en la composición puede mejorar sustancialmente la observación del par estereoscópico y la sensación de profundidad.
Figura 1. Par estereoscópico sobre placa de vidrio de 45x107mm del Arxiu Fotogràfic del Centre Excursionista de Catalunya, que muestra un panorama de montañas desde una cima sin identificar. Al fondo de la imagen es claramente visible el macizo de la Maladeta; (hacer click para ver una versión mayor de la imagen).
Dado que de la mayoría de imágenes de la exposición se conocía el lugar donde se habían tomado o resultaba fácil identificarlo, en aquéllas en que el dato de la ubicación no constaba se hizo un esfuerzo para determinarlo. Finalmente, <AFCEC_ORFILA_X_074> fue una de las que permaneció sin datos de localización. Aún así y disponiendo de más tiempo para ello, se me ocurrió analizar hasta donde era posible intentarlo en relación al panorama de cimas que se incluye en la misma, razonamientos de óptica fotográfica y la ayuda de la cartografía.
Entre el numeroso grupo de cimas del fondo de la imagen, puede distinguirse con relativa facilidad, casi en el centro de la imagen, el macizo de la Maladeta. El grupo destaca claramente por la extensión de sus áreas de innivación (Figura 2). De derecha a izquierda:
- Glaciar de la Maladeta casi tapado por la cresta de los Portillones.
- Glaciar de Aneto.
- Glaciar de Barrancs.
- Glaciar de Tempestades.
- Glaciar de Salenques
La sucesión de cimas, también de derecha a izquierda es:
- Grupo confuso de Maladeta Occidental (Mir, Cordier, Sayó).
- Maladeta Oriental, al final de la Cresta de los Portillones.
- Grupo de los Picos Maldito, Cresta del Medio y Pico de Coronas, sobre la gran masa del Glaciar de Aneto.
- Depresión del Collado de Coronas.
- Pico de Aneto.
- Pico de Espalda de Aneto.
- Depresión de la Brecha de Tempestades.
- Pico de Tempestades.
- Pico de Margalida.
- Brecha de Russell.
- Pico de Russell.
Figura 2. Sección ampliada de la parte superior central de la imagen de la Figura 1, con indicación de las principales cimas y la distancia “d” entre la cima del Besiberri Norte y el Pa de Sucre; (hacer click para ver una versión mayor de la imagen).
A partir del Pico de Russell, la divisoria de aguas desciende claramente hacia la izquierda hasta quedar escondida tras un nuevo, aislado y más cercano grupo de cimas, los Besiberris y el Coma lo Forno. En este grupo resulta también fácil identificar la silueta característica del Besiberri Norte. Descendiendo a la derecha de su cumbre se distinguen el Tumeneia Sur o Punta Harlé y a continuación el Tumeneia Central o Pa de Sucre (Figura 2).
El panorama identificado y sobre todo la orientación del macizo de la Maladeta sugiere que la imagen está tomada desde algún punto al este de estos macizos, en el Pirineo catalán y suficientemente alto como para que otras montañas no impidan su visión. La visual principal debería tener una dirección aproximada E-W. Esto reduce las posibilidades a alguna cima del Pirineo de Lleida, en las comarcas de la Ribagorça o el Pallars Sobirà.
A partir de estas localizaciones sobre el panorama visible desde el punto de vista de la imagen, se pueden establecer algunos parámetros que permitan realizar cálculos con una aproximación razonable:
- Trazado de la visual principal sobre un mapa. Ésta trancurre por el centro de la imagen a lo largo de una línea que une la cima del Tumeneia Central o Pa de Sucre con una zona indeterminada de la divisoria de aguas del fondo y que se puede aproximar como el Pico de Margalida. Esta intersección se deduce de la obstrucción visual que se aprecia en la fotografía.
- Medición de una distancia conocida. Elección de una distancia que pueda ser medida a la vez en la imagen y sobre el terreno (a través del mapa). Esta separación, en la imagen y sobre el terreno, ha de permitir determinar el aumento lateral de la imagen.
- Determinación de la distancia objeto. Finalmente, combinando el aumento lateral con la longitud focal del objetivo, se puede aproximar la distancia al objeto. Una medida de esta distancia sobre el mapa, a lo largo de la visual principal, ha de permitir localizar la posición del punto de estación desde el que se tomó la imagen.
Para trazar la mencionada visual principal, se escanearon a 150ppi la parte baja de la hoja Vall d’Aran de la Editorial Alpina a escala 1:40.000 y porciones de las hojas La Maladeta y Sant Maurici de la misma editorial, ambas a escala 1:25.000. Las porciones escaneadas se unieron y encajaron mediante procesado de imagen, reduciendo previamente las partes correspondientes a las hojas La Maladeta y Sant Maurici para representarlas a la misma escala de 1:40.000 que la parte correspondiente a la hoja Vall d’Aran (Figura 3).
Se traza sobre el mapa la visual principal determinada por las obstrucciones visuales presentes en la imagen. La línea que une las cimas del Pico de Margalida y el Pa de Sucre se prolonga hasta un grupo de cimas por encima de los 2.800m en el Pallars Sobirà formado por el Tuc de Saburedo, Pico de Amitges, Pico de Bassiero y Pico de Mont Saliente (Figura 3). Esta hipótesis se basa en el hecho de que siguiendo esta visual principal desde el Pa de Sucre no se cruza ningún otro grupo de cimas suficientemente altas como para que la visión presente en la imagen analizada no quede obstruida por el entorno local.
Figura 3. Porciones de los mapas citados en el texto unidas mediante procesado de imagen y unificadas a una única escala (1:40.000); (hacer click para ver una versión mayor de la imagen).
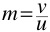
La distancia conocida elegida es la que separa las cimas del Besiberri Norte y el Tumeneia Central o Pa de Sucre. La elección responde al hecho de que la línea imaginaria que las une es aproximadamente transversal a la visual principal y por lo tanto, su aumento lateral es aproximadamente el mismo (Figura 2). Para poder relacionar los píxeles de la imagen con una unidad de longitud debe conocerse alguna medida del objeto, en este caso la placa de vidrio estereoscópica. Según los datos del AFCEC la imagen se tomó sobre una placa de 4,5×10,7cm. Si una vez digitalizada la placa, sus 45mm de altura contienen 4.857pix, esta relación establece que cada píxel representa:
Si la distancia entre las cimas respectivas del Besiberri N y el Pa de Sucre, medida sobre las correspondientes normales al terreno, es de 457pix, su distancia en milímetros sobre la placa de vidrio es de:
Se mide ahora la distancia entre las dos cimas sobre terreno. Para ello realizamos una medida sobre el mapa y obtenemos la distancia real mediante un cálculo con la escala del mapa (Figura 4).
Figura 4. Detalle del mapa a escala 1:40.000 que muestra la medición de la distancia de separación entre las cimas del Besiberri N y el Pa de Sucre.
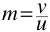
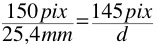
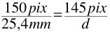
La distancia d entre las dos cimas es, sobre el mapa, de 145pix. El mapa se escaneó a una resolución de 150ppi. Por lo tanto, se puede establecer la relación:
y despejando,
Si la escala del mapa es 1:40.000, la distancia sobre el terreno es de:
Dado que la imagen fotográfica es la proyección de la escena sobre un plano, esta separación d se ha medido como separación ortogonal entre dos líneas paralelas que pasan por las dos cimas, respectivamente.
Relacionando ahora el tamaño de la imagen y el tamaño del objeto, la separación entre las dos cimas, se puede calcular el aumento de la toma:
Conocido el aumento, para determinar la distancia de toma deberíamos también conocer la longitud focal del objetivo. Dado que este dato no consta en la información acerca de la imagen disponible en el AFCEC, utilizaremos una aproximación basada en las características de algunas cámaras estereoscópicas de la época. Teniendo en cuenta que la placa de vidrio de la imagen es del formato 45x107mm y a partir de la información disponible sobre los diversos modelos de cámara estereoscópica que se comercializaron entre 1900 y 1930, caben diversas posibilidades sobre la longitud focal del objetivo que tomó la imagen. Las más comunes para este formato fueron las de 55mm, 65mm y 85mm.
El aspecto de la imagen, la relación de tamaño entre las rocas próximas y el sujeto y la necesaria proximidad de la cámara al mismo para que sean visibles las estribaciones rocosas bajo la cima aconsejan, en principio, considerar el uso de una longitud focal relativamente corta para el formato. Los cálculos se basan pues inicialmente en el objetivo de 55mm. Tomando esta hipótesis, la distancia imagen en el interior de la cámara (v), se puede calcular como:
Y conociendo la distancia imagen y la longitud focal del objetivo, la distancia objeto (u) se puede calcular a partir de:
y despejando,
Para conocer a qué distancia equivalen los 13,15km sobre el mapa, se calcula su equivalencia en píxeles. Dado que el mapa se ha escaneado a una resolución de 150ppi y que a la escala del mismo, 1:40.000, un kilómetro equivale a 25mm, puede establecerse la siguiente relación:
y despejando,
Por lo tanto, los 13,15km de distancia objeto han de medir sobre el mapa:
Si se mide esta distancia en píxeles sobre el mapa siguiendo la línea de la visual principal desde un punto intermedio entre el Besiberri Norte y el Pa de Sucre, se alcanza un punto en la Ribera de l’Abeller, cerca de las Agulles de Bassiero. La hipótesis planteada anteriormente respecto de la situación del supuesto punto de vista en un entorno de cimas de más de 2.800m, se confirma con esta distancia (Figura 5).
Figura 5. Detalle del mapa a escala 1:40.000 mostrando marcado en verde el pequeño circo de la Ribera de l’Abeller, en cuyo interior se ubica la posición del punto de vista calculado según el procedimiento descrito en el texto; la recta en rojo es una porción de la visual principal.
Ahora sólo queda determinar la posición con exactitud en este entorno. En una primera aproximación, el punto determinado por el cálculo se revela como imposible dado que la Cresta Sur del Bassiero impediría la visión del panorama (Figura 5). Si situamos el punto de vista sobre la propia cresta, el lugar no pertenece a una cima y aunque no puede descartarse esta posibilidad, una imagen tomada durante un descanso en la ascensión debería mostrar al menos la presencia de cuerda pues hoy sabemos que la mencionada Cresta Sur del Bassiero presenta una cierta dificultad técnica.
La siguiente oportunidad hacia el W la tenemos en la cresta de la Serra de Saburedo, aunque en este caso la aproximación de cálculo presentaría un error considerable. Hacia el E, las cimas del Mont Saliente (2.888m) y el Pui Pla (2.825m) parecen una hipótesis más plausible. Si seguimos fieles al trazado de la visual principal, la opción se decanta por el Mont Saliente. Volver al hipotético escenario, la cima del Mont Saliente, debería confirmarnos la hipótesis de trabajo.
Dejando pendiente una ascensión al Mont Saliente para cuando se presente la oportunidad, podemos mientras tanto hacer uso de la tecnologías de la información y la comunicación (TIC) que nos permiten disponer de información cartográfica basada en imágenes reales tomadas desde satélite. Esta información y su carácter de imágenes de la realidad, no representaciones, permite diversas proyecciones del terreno basadas en la transformación de la visión cenital de la cámara del satélite y el aprovechamiento de la textura de la imagen para recubrir la representación volumétrica de la orografía generada virtualmente. Google Earth es una posibilidad accesible desde cualquier ordenador conectado a Internet. Si se localiza el Mont Saliente en el entorno del Parque Nacional de Aigüestortes i Llac de Sant Maurici y se posiciona un observador sobre la cima en la visión a nivel del terreno, se obtiene el resultado de la Figura 6.
Figura 6. Visión del terreno proporcionada por el programa Google Earth situando un observador en la cima del Mont Saliente; (hacer click para ver una versión mayor de la imagen).
Como puede observarse en la comparación de la Figura 7, el panorama de montañas es exactamente el mismo que el presente en la imagen analizada que se tomó, según la información del AFCEC, en 1934. Aunque el grado de acierto, en este caso, se basa tanto en un cierto conocimiento de la orografía pirenaica, de una aproximación a los datos de cámara desconocidos y de la posibilidad de determinar distancias entre objetos conocidos en la escena, no es menos cierto que estas posibilidades se fundamentan también en la relativa facilidad con la que las mediciones necesarias se pueden tomar del carácter discreto de las imágenes digitales. Por último, un buen ejemplo de las posibilidades de las que disponemos hoy lo constituye la comprobación final en Google Earth.
Figura 7. Comparación entre la imagen original, a la derecha, y la obtenida de la proyección de Google Earth situando el observador en la cima del Mont Saliente. En amarillo se han resaltado la Cresta S y cima de Bassiero así como el perfil de las Agulles de Bassiero en el centro del circo; (hacer click para ver una versión mayor de la imagen).
De todos modos y como las cosas son siempre como son, un tiempo después de haber realizado todas estas mediciones, tuve acceso al enlace de la imagen en el sitio web del AFCEC. Allí pude comprobar que entre los datos de la misma se cita un título que dice “Excursionista asseguda sobre una roca a Sant Maurici”, que traducido se corresponde con “Excursionista sentada sobre una roca en Sant Maurici”. Si hubiese conocido este dato de antemano, habría ahorrado alguna incertidumbre inicial, pero quizá no hubiese sido tan entretenido. Como ya se ha dicho muchas veces pues, las imágenes están llenas de información.
Agradecimiento: Al Arxiu Fotogràfic del Centre Excursionista de Catalunya en la persona de Berenguer Vidal por las facilidades proporcionadas.
Crédito de la imagen analizada: AFCEC_ORFILA_X_074 Campament a Sant Maurici, 1934. Autor: Eliodor Orfila. Títol: Excursionista asseguda sobre una roca a Sant Maurici. Esta imagen no puede ser utilizada sin contactar previamente con el Arxiu Fotogràfic Centre Excursionista de Catalunya.




















Carles,
Et felicito per aquesta magnífica aportació científica-tècnica-pràctica al món de la fotografia !
La teva experiència i coneixements del món de la fotografia han estat sempre per mi una gran ajuda a la meva afició al món de l’estereoscòpia. Moltes gràcies !
LikeLike
Carles,
Estupendo! … Es nota la nova condició …
Durant Pyrenades un senyor hem va dir que la senyora de la pamela es diu Maria Cuadras.
Magnífica combinació de pirineista-artista!
Una abraçada!
Manel
LikeLike
Un treball molt acurat i rigurós. A part dels coneixements fotogràfics tals com: augment, resolució de l’escaneig, resolució de la imatge i la relació de conjugació entre l’objecte i la imatge calen coneixements de muntanyisme. Sense ells penso que seria impossible arribar al resultat final.
També és molt interessant lligar la informació visual d’una fotografia feta a l’any 1934 amb les dades del Google Earth.
Felicitats per aquest post.
LikeLike