
En el post La Imagen como Contenedor de Datos se mostraban alguna de las posibilidades que ofrece el carácter discreto de las imágenes digitales por lo que respecta a la obtención de datos a partir de la propia imagen. Analizaremos en este post con el mismo título una imagen tomada desde el Plan de Aigualluts durante una excursión al Valle de la Escaleta. La imagen se tomó con una cámara Fujifilm X100 equipada con su objetivo de 23mm y muestra el inicio del Valle de Barrancs desde el Plan de Aigualluts con el Pico de Aneto en la parte superior (Figura 1).
La posición del Sol y la dirección de sus rayos respecto del paisaje permiten observar con claridad un amontonamiento perfectamente alineado de rocas en el centro de la parte superior de la imagen (ver círculo indicativo en la Figura 2). Este amontonamiento regular de rocas sueltas corresponde a una morrena lateral del antiguo Glaciar del Aneto.

Alineada con la máxima pendiente, su espinazo indica la dirección aproximada de la masa de hielo al desplazarse en ligera curva hacia el torrente de Barrancs durante la denominada Pequeña Edad del Hielo, fechada entre los siglos XIV al XIX o XVI a XIX según los autores. El documento El último ciclo glaciar en el macizo de la Maladeta de R. Copons y J. Bordonau del Departament de Geologia Dinàmica, Geofísica i Paleontologia de la Universitat de Barcelona, explica cómo los últimos períodos glaciales afectaron a esta región de los Pirineos y qué rastros se pueden observar hoy de esta actividad. En la pág. 57 del mismo se muestra un mapa de posición de diferentes accidentes geológicos de la región donde se incluye la citada morrena lateral del Glaciar del Aneto.
Con la excusa que nos presta el testimonio de la morrena en una localización en la que nadie que viva en la actualidad, por mayor que sea, ha podido ver nunca la lengua del glaciar, vamos a aprovechar la imagen para hacer un cálculo aproximado del espesor de hielo que alcanzó como mínimo en este punto. La posición algo descentrada de la morrena respecto del encuadre permite observar una de sus pendientes laterales, la de poniente, y en ella las canales de derrumbe de las rocas que la componen. Estas canales de derrumbe marcan una dirección ortogonal al eje principal de la morrena, que utilizaremos para realizar las medidas sobre la imagen.

Dado que el plano del sensor se hallaba completamente vertical en el momento de la toma, no hay fuga en las líneas verticales de la imagen y pueden por lo tanto tomarse medidas verticales sobre la misma. Tomando como referencia las mencionadas canales de derrumbe, se han tomado tres medidas en píxeles de la altura de la estructura, tal y como se indica en la Figura 3. La primera medida se ha tomado a la altura de la cúspide del primer término de la morrena, la segunda a aproximadamente la mitad de su longitud y la tercera en el extremo superior. Relacionando estas medidas en píxeles con el pitch del sensor de la Fujifilm X100 (0,0055mm), se ha calculado el tamaño de las correspondientes imágenes sobre el sensor en el momento de la toma. Para calcular estas alturas en la realidad es necesario conocer el valor del aumento lateral (m) para cada uno de los tres puntos de medida.

Para ello se ha localizado la morrena en la ortofotografía de Google Earth (Figura 4) y se han tomado sobre ella medidas de las correspondientes distancias sobre el plano desde el punto de toma, el Plan de Aigualluts; estas distancias son las respectivas distancias objeto, u1, u2 y u3. También tomamos de la misma ortofotografía la longitud de la morrena sobre el plano y los datos de cota de los extremos de su espinazo.
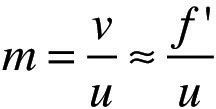
Para el cálculo del aumento relacionamos la longitud focal del objetivo (23mm) con las tres distancias objeto. Dado que las distancias objeto son de más de dos kilómetros y la distancia focal es de sólo 23mm, tomamos la aproximación de igualar la longitud focal del objetivo con la distancia imagen v según la Ecuación I.


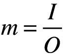
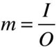
Disponiendo del valor del aumento para cada zona de medida y del tamaño de las imágenes sobre el sensor calculadas anteriormente, deducimos las dimensiones de las tres alturas del talud de rocas despejando el tamaño del objeto (O) de la Ecuación II. En la Tabla 1 se muestran los datos manejados y valores obtenidos.

Una vez obtenidos estos tamaños es necesario todavía calcular el grosor de la morrena en cada punto de medida sobre una perpendicular al terreno. Para facilitar la comprensión de la geometría implicada, se confecciona el gráfico que se muestra en la Figura 5 en el que se emplazan los tres triángulos rectángulos correspondientes a las mediciones sobre la morrena.
El triángulo de mayor tamaño se corresponde con las dimensiones de la morrena:
-
- El cateto horizontal (377m) se toma de la medición sobre la ortofotografía de Google Earth.
- El cateto vertical (157m) se deduce de la diferencia de cota de los extremos de la morrena.
- La hipotenusa representa el espinazo de la morrena.
Los tres triángulos rojo, verde y azul se dibujan a partir de las alturas de la morrena en los tres puntos de medida calculadas anteriormente (Figura 3). Una vez emplazadas dichas alturas (catetos verticales), se trazan los correspondientes catetos horizontales hasta la hipotenusa del triángulo mayor. Sus dimensiones se calculan a partir de la razón de proporcionalidad que se puede establecer con el triángulo de mayor tamaño ya que todos los triángulos rectángulos presentes en el esquema son semejantes. Una vez conocido el valor de los dos catetos y de la hipotenusa de los tres triángulos rojo, verde y azul, se procede a calcular sus correspondientes alturas (en gris) que indican a su vez el grosor de la morrena en cada punto de medida.

El resultado es de 21,5m en la parte más cercana de la morrena, 27,1m en su punto medio y 15,1m en el extremo más alejado del punto de vista. El promedio es de 21,2m. El espesor medio de hielo de la lengua del glaciar en este punto pudo ser algo superior pero en cualquier caso éste es el valor aproximado en el punto de contacto con la morrena producida por su avance.
Aunque los cálculos realizados acumulan un cierto grado de error a causa de la gran disparidad entre la cantidad de unidades de medida disponibles, los píxeles en la imagen, y la magnitud de las distancias implicadas, no dejan de proporcionar una idea de la gran diferencia de aspecto que debía presentar el Glaciar del Aneto en la primera mitad del Siglo XIX, con respecto a sus dimensiones actuales. Imaginemos una lengua de hielo que llegaba casi al torrente de Barrancs con un espesor de al menos 20m de hielo.
Aún así y viéndolo desde un punto de vista optimista, aunque hoy ya no podamos contemplar estas grandes masas de hielo que se deslizaron por los altos valles pirenaicos, quedan sobre el terreno suficientes testigos como ésta y muchas otras morrenas que bien merecen una excursión. Algunas de ellas, como las dos laterales del Glaciar de Barrancs, son fácilmente identificables en las ortofotografías de Google Earth.


2 Replies to “La Imagen como Contenedor de Datos II”