(actualizado el 10/09/2011)
(actualizado el 02/09/2011)
Cámara estenopeica – La cámara sin objetivo fue uno de los primeros sistemas utilizados para la obtención de imágenes fotográficas. Aunque en algunos textos se la denomina como cámara oscura, su nomenclatura correcta es cámara estenopeica, de estenopo, o cámara pinhole, adjetivación tomada del inglés “agujero de aguja”. En el ámbito de la fotografía, el término cámara oscura define al receptáculo hermético a la luz que todo instrumento de captación de imágenes necesita para alojar el material sensible con independencia de si ésta es modulada por una lente o por un simple orificio; esta denominación tampoco excluye los diferentes tipos de soporte de registro comúnmente utilizados, ya se trate de película negativa, positiva , en blanco y negro o en color, papel fotográfico en blanco y negro o en color, además de los actuales sensores electrónicos, CCD y CMOS.
Aplicaciones de la cámara estenopeica – Aunque las aplicaciones más conocidas de las cámaras estenopeicas se enmarcan en el ámbito de la curiosidad tecnológica o el arte, la cámara desprovista de objetivo se ha utilizado también a lo largo del tiempo para aplicaciones relacionadas con la ciencia y la tecnología. Este tipo de aplicaciones pueden dividirse en cuatro grandes grupos:
- Las que aprovechan la poca cantidad de luz que entra por el orificio si éste se calcula de forma óptima en relación a la longitud del instrumento. Ello permite, sin accesorios frente a la cámara ni tiempos de exposición anormalmente cortos, fotografiar objetos en presencia de grandes cantidades de luz o los propios emisores de luz, como el Sol, arcos voltaicos, arcos de soldadura, filamentos incandescentes, etc.
- Las que aprovechan la ausencia de materia en el orificio de entrada que impida el paso de determinadas radiaciones electromagnéticas. Pueden así fotografiarse emisores de luz de franjas del espectro electromagnético que serían absorbidas por el cristal de las lentes de un objetivo, estando la mayoría de aplicaciones relacionadas con la obtención de imágenes de fenómenos astronómicos.
- Las que aprovechan la ausencia de distorsión en las imágenes obtenidas. A diferencia de las imágenes formadas por lentes, con la excepción de configuraciones y modos de empleo muy restrictivos, las imágenes de cámara estenopeica están libres de distorsión óptica sea cual sea su longitud focal y posición relativa al objeto. Esta propiedad se ha venido utilizando en el análisis del diseño de espacios de trabajo reducidos como cabinas de pilotaje de aviones o automóviles de competición, aunque en la actualidad, este tipo de aplicaciones se han sustituido por el empleo de imágenes virtuales generadas por computador, también libres de distorsión óptica y con una nitidez y resolución ajustables a las necesidades de aplicación.
- Las que aprovechan la mayor profundidad de campo de la cámara estenopeica. Para unas condiciones dadas, la cámara estenopeica goza de una profundidad de campo mucho mayor que la que puede mostrar la imagen registrada por un objetivo. Este extremo ha sido aprovechado para la obtención de imágenes que incluyen primeros términos muy cercanos al instrumento a la vez que partes de la escena alejadas del mismo. En este tipo de situaciones, la imagen estenopeica adolece de la falta de nitidez que le es propia, aunque esta pérdida es prácticamente uniforme en todo el campo registrado.
Propiedades de las imágenes estenopeicas – Entre las propiedades de las imágenes estenopeicas, si se comparan con las imágenes correspondientes tomadas con cámaras equipadas con objetivo en las mismas condiciones, pueden enumerarse las siguientes:
- Falta de nitidez. Mientras que un objetivo fotográfico libre de aberraciones y limitado exclusivamente por la difracción puede resolver con facilidad más de 300lp/mm (pares de líneas por milímetro) para aperturas de por ejemplo, diafragma f/4, una cámara estenopeica con el orificio circular y optimizado para su longitud no superará una resolución de 11lp/mm. Esta nitidez reducida es una de las mayores desventajas frente a las imágenes obtenidas mediante objetivos, aunque en el ámbito de la imagen aplicada, comercial o la creación artística, ello puede constituir una ventaja.
- Mayor profundidad de campo. Como ya se comentó anteriormente y para unas condiciones dadas, la falta de nitidez se aprecia por igual para los términos cercanos que para los más alejados de la cámara. No es posible, por lo tanto, detectar el gradiente de nitidez propio de las imágenes proporcionadas por los objetivos que está relacionado con el aumento lateral y el diámetro de la apertura.
- Mayor sensibilidad al movimiento. Para unas condiciones dadas de posición relativa al objeto, la cámara estenopeica con orificio optimizado presenta un valor de apertura mucho mayor que la cámara provista de objetivo; para una cámara estenopeica de por ejemplo, 85mm de longitud, el orificio óptimo es de 0.34mm con el que resulta una apertura de f/250. Por la tanto, la cantidad de luz que entra en el instrumento es mucho menor y el tiempo de exposición necesario para estas condiciones, es mucho más largo. Este extremo, que puede considerarse un inconveniente, es susceptible de ser utilizado como una ventaja en determinados casos en los que la presencia de la huella del movimiento se valore como un elemento estéticamente relevante.
- Respuesta cromática propia. Dado que, entre otros factores, la respuesta cromática de la mayoría de soportes sensibles, tanto fotoquímicos como electrónicos, está relacionada con el tiempo de exposición, la gran diferencia de tiempo necesaria entre estas cámaras y sus homólogas provistas de objetivo, suele traducirse en desviaciones cromáticas características del soporte de registro. En este sentido, la utilización de soportes de registro electrónicos constituye una clara ventaja frente al trabajo con película gracias a la posibilidad de procesamiento posterior de la imagen obtenida.
- Mayor desarrollo de ruido. Aunque este aspecto no sea propio de la cámara estenopeica en sí misma, debe tenerse presente en el caso del uso de sensores electrónicos, CCD y CMOS. Los necesarios tiempos de exposición relativamente largos para condiciones de iluminación bajas, implican el desarrollo de ruido en el sensor en función de su propio rendimiento.
- Dificultades en la determinación de la exposición correcta. Tanto en el caso de los soportes de registro fotoquímicos como con los electrónicos, los tiempos de exposición largos producen el llamado fallo de la ley de la reciprocidad, o falta de linealidad en la respuesta del sistema a progresivos aumentos del tiempo de exposición. Aunque este aspecto es más propio de los soportes fotoquímicos, también los sensores electrónicos pueden mostrarlo en los extremos de su rango dinámico; con este tipo de soporte, no obstante, la posibilidad de comprobar de forma inmediata el histograma de la imagen captada permite reconsiderar la idoneidad del cálculo de la exposición.
Geometría y calidad de la imagen estenopeica – Para una apertura circular y en una aproximación simplificada, la imagen estenopeica de un punto objeto es una mancha formada por la intersección del cono de rayos procedentes del punto y limitado por el orificio, con el soporte de registro. La imagen se hace progresivamente más oscura hacia los extremos del campo imagen (Figura 1).

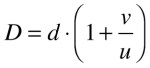
Figura 1. Esquema donde se muestra la formación de las imágenes I1, I2 y I3 a partir de los conos de haces de rayos procedentes de los puntos objeto O1, O2 y O3 limitados por un orificio circular de diámetro d. Las distancias objeto e imagen son u y v respectivamente. Las manchas imagen I1, I2 y I3, correspondientes a los puntos objeto O1, O2 y O3 alcanzan en la pantalla de proyección el diámetro D.
Como se observa en el esquema de la Figura 1, no se produce refracción de los rayos de luz al no existir cambio de medio entre el exterior y el interior de la cámara ni material alguno que obstruya el orificio. Por lo tanto, el diámetro D de la imagen de un punto objeto situado a la distancia u, se forma a la distancia v al quedar limitado el cono de rayos por el diámetro del orificio de entrada d.
De esta geometría se deduce que el diámetro del parche de luz D se obtiene según la ecuación:
De la Ecuación I se desprende que el diámetro del parche de luz D es función lineal del diámetro del orificio d; dado que para un objeto distante, v/u<<1, los valores de d y D son muy cercanos en la práctica. La solución obvia para mejorar la calidad de la imagen consiste en utilizar pues, el menor diámetro de orificio posible para conseguir los menores parches de luz que, superpuestos, formen la imagen de mejor resolución. Ello conlleva dos inconvenientes. El primero está relacionado con el tiempo de exposición necesario para unas condiciones de luz y sensibilidad dadas, que resulta necesariamente largo. Incluso superando este inconveniente o en aquellos casos en que una exposición prolongada no suponga un problema, reducir el diámetro del orificio a partir de un determinado valor incorpora los efectos de la difracción de la luz que implica un crecimiento del diámetro del parche, contraviniendo el supuesto geométrico expresado en la Ecuación I.
El caso de los objetos lejanos se corresponde con la difracción de Fraunhofer. Asumiendo este tipo de difracción y tomando en consideración el diámetro del disco de Airy como diámetro de la mancha imagen, su valor se obtiene según:
Con este modelo, el diámetro de la mancha D es función inversa del diámetro del orificio d. Puede asumirse, por lo tanto, que el diámetro del estenopo d que produce la menor mancha imagen D se obtiene cuando se igualan las Ecuaciones I y II. Teniendo en cuenta que v/u<<1, el diámetro óptimo para una situación dada se obtiene según:
En la práctica y a partir de la Ecuación III, tanto puede determinarse el diámetro de orificio óptimo para una cámara con una longitud dada, como la longitud de cámara necesaria para obtener buenas imágenes a partir de un determinado orificio.
Dado que uno de los factores que intervienen en la determinación del diámetro óptimo del estenopo es la longitud de onda de la luz empleada en la captación, en el caso de la fotografía estenopeica con luz diurna se toma como valor de referencia el de 555nm, situado aproximadamente en el centro del espectro visible. En el caso de que se utilicen fuentes de iluminación en las que predominen otras regiones del espectro visible o incluso en el trabajo con fuentes de luz no visible, este factor puede y debe ser tenido en cuenta a la hora de realizar los cálculos pertinentes.
Por otra parte, al igual que ocurre con las aperturas de los objetivos, su forma no tiene porque ser circular. Lo que en realidad cuenta en relación con la calidad de imagen obtenida es el área de la apertura y es por comodidad de cálculo y medida que para el caso de aperturas circulares, se utiliza el diámetro. Al no tener la cámara estenopeica necesidad de regular la apertura, esta forma, la circular, es la más utilizada dado que además, es la más fácil de conseguir por sistemas de perforación de material.
En las Figuras 2 y 3 se muestra una idealización gráfica de la formación de la imagen de un objeto por solapamiento de las respectivas manchas imagen con la forma del orificio de entrada, circular en la Figura 2 y triangular en la Figura 3.
Figura 2. Idealización gráfica de la formación de la imagen Ic del objeto Oc en una cámara estenopeica provista del orificio circular c. Las distancias u y v son las distancias objeto e imagen respectivamente.
Figura 3. Idealización gráfica de la formación de la imagen It del objeto Ot en una cámara estenopeica provista del orificio triangular t. Las distancias u y v son las distancias objeto e imagen respectivamente.
Estadios de formación de la imagen estenopeica – Para un diámetro de orificio dado, pueden establecerse varios estadios de formación de la imagen estenopeica relacionados con la distancia del orificio a la pantalla de proyección de la imagen y que tienen como consecuencia una mejor o peor visibilidad de dicha imagen.
Tomemos el ejemplo de un objeto lejano como el Sol; al ser éste muy brillante, no es necesario imaginar su imagen en un recinto hermético como una cámara, sino que puede observarse simplemente interponiendo un orificio entre el Sol y una pantalla de proyección.
El ángulo subtendido por el tamaño aparente del Sol visto desde la Tierra es de 0.5º. Con esta magnitud y la distancia del orificio a la pantalla podemos calcular el tamaño de la imagen del Sol sobre la pantalla según la ecuación:
en la que v es la distancia del orificio a la pantalla. Con el diámetro de la imagen del Sol puede calcularse su área y compararla con el área de la proyección geométrica del orificio, que es la misma que la del propio orificio al poder considerarse los rayos del Sol paralelos a su llegada a la Tierra. Esta comparación nos lleva a tres posibles situaciones:
- El orificio se encuentra muy cerca de la pantalla de proyección. El área de la imagen del Sol es menor que la de la proyección del orificio. La imagen del Sol no es visible en la pantalla y prevalece en ésta la proyección de la forma del orificio (Figura 2 en Imágenes estenopeicas (II) – Imágenes sin cámara). La proyección del orificio presenta una cierta degradación debida a la difracción de los rayos que pasan por los bordes del mismo.
- El orificio se aleja de la pantalla de proyección. Supongamos que el área de la imagen del Sol es ahora igual que la de la proyección del orificio. Si el orificio es circular, imagen y proyección se superponen; en sentido estricto, la imagen todavía no es visible. Si el orificio tiene cualquier otra forma poligonal regular o irregular se produce una pérdida de forma en la proyección del orificio sobre la pantalla con tendencia a la forma circular; la imagen del Sol sigue sin ser claramente visible (Figura 3 en Imágenes estenopeicas (II) – Imágenes sin cámara). La proyección del orificio presenta también los efectos de la difracción en sus bordes.
- El orificio se aleja todavía más de la pantalla de proyección. El área de la imagen del Sol es ahora mayor que la de la proyección del orificio. En este punto, la imagen del Sol es claramente visible en la pantalla. La calidad de dicha imagen depende ahora de la relación entre el área del orificio y la distancia de proyección, en el modo que establece la Ecuación III (Figura 4 en Imágenes estenopeicas (II) – Imágenes sin cámara). Para un tamaño de orificio dado, se da una distancia para la cual la calidad de la imagen es óptima; más allá de esta distancia, la calidad vuelve a decaer a causa de la difracción.
Nótese que el ejemplo propuesto llevaría a las mismas conclusiones si en lugar de variar la distancia a la pantalla a partir de un mismo orificio, se mantuviera la distancia al tiempo que se varía el diámetro del orificio.
Para objetos cercanos al orificio, caso más habitual en fotografía estenopeica, la formación de la imagen obedece a unos criterios algo distintos ya que los haces de rayos procedentes del objeto no son paralelos. Para orificios pequeños, el esquema general de formación ya se ha mostrado anteriormente en las Figuras 2 y 3. En la Figura 4 se muestra el esquema de formación de imagen para el caso de un objeto cercano y un orificio circular de diámetro grande o muy cercano a la pantalla de proyección.
Figura 4. Formación de la imagen de un objeto cercano en el caso de una cámara con un orificio demasiado grande para la profundidad de la misma.
Este caso, que se corresponde con una cámara excesivamente corta para el diámetro del orificio, presenta poca diferencia de posición entre las diferentes manchas imagen que se obtienen a partir de los haces de rayos procedentes de cada punto del objeto; en el esquema se han representado sólo los rayos y las manchas imagen de los puntos extremos del objeto, coloreándolos de forma distinta para favorecer la comprensión.
Como se ha indicado en cada caso, en el post Imágenes estenopeicas (II) – Imágenes sin cámara se describe un ejemplo práctico en el que se puede comprobar la evolución de estos estadios de formación con la imagen del Sol originada por un orificio triangular.
Poder de resolución de la cámara estenopeica – Como ya se ha comentado en el apartado de Propiedades de las imágenes estenopeicas, la resolución de este tipo de imágenes es muy reducida en relación a las imágenes obtenidas mediante objetivo.
Una forma de determinar la resolución de una cámara estenopeica es captar una imagen de una mira de resolución y observar cual es el tamaño de patrón visible en la imagen final. Este procedimiento determina en realidad el poder de resolución del sistema, es decir, el pinhole, la distancia de cámara, la película o el sensor electrónico y el soporte de visualización final.
Los resultados que se muestran a continuación se han obtenido a partir del siguiente equipo y procedimientos:
- Mira de resolución USAF1951 de Applied Image Inc. referencia T-21-P-RM (Figura 5). Este test, positivado sobre papel fotográfico de alto contraste, posee patrones con resoluciones espaciales más allá del límite de resolución de cualquier cámara estenopeica.
Figura 5. Mira de resolución USAF1951 en el formato proporcionado por Applied Image Inc. sobre papel fotográfico RC de alto contraste.
- Sistema de iluminación de la mira USAF1951 formado por dos antorchas de flash electrónico con difusores que garantizan la uniformidad de iluminación sobre el test.
- Cámara Nikon D700 equipada con una tapa del cuerpo de cámara perforada a la que se acoplan los diferentes orificios o estenopos. Esta configuración proporciona una longitud de cámara (v) de 47mm.
- Serie de estenopos de Pinhole Resource. Para la prueba se han utilizado los orificios de 0.15, 0.22, 0.26, 0.32 y 0.35mm de diámetro; según la Ecuación III, el diámetro de orificio óptimo para 47mm de longitud de cámara y una longitud de onda de 555nm, es de 0.25mm, con una oscilación entre 0.21 y 0.28mm para los extremos del espectro visible, de 400 y 700nm respectivamente. Disponemos pues de un orificio muy cercano al valor óptimo (0.26mm), dos de menor diámetro y dos de diámetro superior.
- Las imágenes se han captado en formato RAW sin compresión de 14bit y se han procesado mediante Adobe Camera Raw (ACR), eliminando de los ajustes cualquier mejora de visibilidad de bordes o reducción de ruido. Una vez procesadas en ACR, se han pasado a Escala de Grises de 8bit y guardado en formato TIFF sin compresión.
- El criterio utilizado en la determinación del límite de resolución es el definido para el estándar MIL-STD-150A de la mira USAF1951, en el que se especifica que para que el patrón de una determinada resolución espacial se considere resuelto deben detectarse el número de barras que la componen así como su dirección.
- Los archivos TIFF se han abierto en el programa ImageJ para realizar el análisis de valor de gris de los píxeles de los diferentes patrones de la mira USAF1951, que permite determinar el límite de resolución según el criterio expresado anteriormente (Figuras 6, 7 y 8).
Figura 6. Imagen de la mira USAF1951 tomada con el orificio de 0.15mm montado en la cámara Nikon D700. La flecha amarilla indica el patrón que marca el límite de resolución del sistema.
Figura 7. Imagen de la mira USAF1951 tomada con el orificio de 0.26mm montado en la cámara Nikon D700. La flecha amarilla indica el patrón que marca el límite de resolución del sistema.
Figura 8. Imagen de la mira USAF1951 tomada con el orificio de 0.35mm montado en la cámara Nikon D700. La flecha amarilla indica el patrón que marca el límite de resolución del sistema.
- Los valores así obtenidos se han exportado a una hoja de cálculo para obtener el gráfico de la Figura 9.
Figura 9. Gráfico con los resultados de la determinación del poder de resolución del sistema estenopo/cámara con cinco diámetros de orificio diferentes.
Con este procedimiento, tanto el sensor de la cámara, como la pantalla en la que se observan las imágenes y la agudeza visual del observador no influyen en el resultado obtenido. El sensor de la Nikon D700 resuelve 59lp/mm, valor muy superior a la expectativa de cualquier cámara estenopeica y tanto la resolución de la pantalla como la capacidad visual del observador no se utilizan, dado que se mide el valor de gris de los píxeles de la imagen.
En el ensayo descrito, el resultado de la determinación del poder de resolución del sistema estenopo/cámara presenta prácticamente el mismo máximo valor (11lp/mm) para los orificios de 0.26 y 0.32mm. Los orificios de 0.15, 0.22 y 0.35mm presentan resultados claramente más bajos.
Campo de visión de la cámara estenopeica – El campo de visión (FOV) proporcionado por una cámara estenopeica tendría un valor infinito si la lámina del material en el que se practicara el orificio de entrada fuese infinitamente delgada. En la práctica existen dos factores que limitan el FOV. El primero de ellos es el grosor de la lámina del estenopo (Figura 10). En segundo lugar y para láminas muy delgadas, la oblicuidad de los rayos en el margen del campo determinan una pérdida de luminosidad en los bordes del campo imagen que pueden llegar a ser un impedimento para el registro de imágenes en función de la sensibilidad y la latitud de exposición del soporte sensible de registro.
En la Figura 10 se muestra como el mismo orificio de diámetro d practicado en dos láminas de grosores w1 y w2, proporciona dos campos de visión distintos, FOV1 y FOV2, a partir de los rayos extremos que pueden penetrar en el recinto de la cámara.
Figura 4. El trazado de los rayos extremos en dos orificios del mismo diámetro d practicados sobre láminas de distinto grosor, w1 y w2, proporciona los campos de visión FOV1 y FOV2 respectivamente.
En las cámaras diseñadas para su utilización con objetivos intercambiables, el fabricante suele limitar la longitud focal del objetivo más corto utilizable de forma que la iluminación en el campo imagen sea útil en función del formato del soporte de registro, que actúa como un diafragma de campo. En algunos objetivos gran angular extremo, se monta sobre la lente frontal un filtro degradado de densidad neutra (ND) que permite equilibrar la iluminación de la imagen en el centro respecto de las esquinas.
En las cámaras estenopeicas habituales y debido a las dimensiones del orificio de entrada, no es posible adoptar este tipo de soluciones, de forma que la pérdida de iluminación en las esquinas de la imagen registrada respecto del centro es una característica que debe ser tenida en cuenta sobre todo para las cámaras de diseño gran angular. Utilizando soporte de registro electrónico, sujetos estáticos e iluminación constante, es posible registrar dos o más imágenes con exposiciones adecuadas a la iluminación de las diferentes zonas del campo imagen que pueden ser seleccionadas y mezcladas posteriormente mediante procesado de imagen.
Bibliografía
- ALLEY, R. E. (1980). The Camera Obscura in Science and Art. The Physics Teacher. December 1980, p. 632-638.
- BDM, Pinhole Astrophotography. Pinhole Sunspots or, Could the Ancient Egyptians Have Observed sunspots? En línea: http://users.erols.com/njastro/barry/pages/pinhole.htm (Última visita: 19/08/2011).
- GLYN, Earl F. USAF1951 and Microcopy Resolution Test Charts. EFG’S, Tech. Note. En línea: http://www.efg2.com/Lab/ImageProcessing/TestTargets/ [Última visita: 10/09/2011].
- MILLER, Bob. Bob Miller’s Light Walk. En línea: http://www.exploratorium.edu/light_walk/lw_main.html (Última visita: 31/08/2011).
- MITJÀ, Carles and ESCOFET, Jaume (2008). Image Improvement in Pinhole Digital Photography by means of Inverse and Wienner Filtering. Topical Meeting on Optoinformatics. University of Sant Petersburg, Rusia.
- RAY, Sidney F. (1997). Applied Photographic Optics. The Focal Press, Oxford.
- RENNER, Eric. Pinhole Resource. En línea: http://www.pinholeresource.com (Última visita: 19/08/2011).
- REYNOLDS, G.O. and WARD, J.H. Coherence Theory Solution to Pinhole Camera. J. SPIE 5(1), 3-8 (October/November 1966).
- TOLAND, Ronald. Alien Planets to Pose for Giant Pinhole Camera in Space. En línea: http://www.nasa.gov/vision/universe/newworlds/new_worlds_imager.html (Última visita: 19/08/2011).
- WALKER, J. The Pleasure of the Pin Hole Camera. En línea: http://www.wesjones.com/pinhole.htm (Última visita: 19/08/2011).
- WILLIAMS, John B. (1990). Image Clarity. The Focal Press, Boston-London.
- YOUNG, Matt (1989). The Pinhole Camera. Imaging without Lenses or Mirrors. The Physics Teacher. December 1989, p. 648-655.





9 Replies to “Imágenes estenopeicas (I) – Teoría”